binary tree python problems

Given a binary tree and an integer K the task is to print all the integers at the K th level in the tree from left to right. Or using that None is considered smaller than any node.


Coding Short Inverting A Binary Tree In Python By Theodore Yoong Medium

For creating the dataset and for performing the numerical calculation.

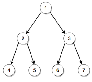
. Tree in the image below K 3 Output. Binary Tree Unlike Arrays Linked Lists Stack and queues which are linear data structures trees are hierarchical data structures. The required python machine learning packages for building the fruit classifier are Pandas Numpy and Scikit-learn.

If we repeat this recursively for all tree nodes we will end up doing a preorder traversal on the tree. All keys before the root node in the inorder sequence become part of the left subtree and all keys after the root node become part of the right subtree. For loading the dataset into dataframe Later the loaded dataframe passed an input parameter for modeling the classifier.

Def lowestCommonAncestorself root p q. Return root left right selflowestCommonAncestorkid p q for kid in root. The algorithm can be implemented as follows in C Java and Python.

All the nodes present in level 3 of above binary tree from left to right are 4 5 and 6. If root in None p q. 4 5 6 Explanation.

Binary Search Tree 7. For training the decision tree classifier. A binary tree is a tree data structure in which each node has at most two children which are referred to as the left child and the right child.

Right return root if left and right else left or right.


Binary Search Tree Questions And Answers Sanfoundry


Print All Internal Nodes Of A Binary Tree Geeksforgeeks


Binary Tree Interview Questions And Practice Problems By Coding Freak Techie Delight Medium


Print Left View Of A Binary Tree Geeksforgeeks


Java67 Top 40 Binary Tree Coding Interview Questions For Programmers


Construction Of An Expression Tree Techie Delight


Construct A Binary Tree In Level Order Using Recursion Geeksforgeeks


Construct Complete Binary Tree From Its Linked List Representation Geeksforgeeks


Difference Between Binary Tree And Binary Search Tree Geeksforgeeks


Find The Diameter Of A Binary Tree Techie Delight


Check Whether A Binary Tree Is A Full Binary Tree Or Not Geeksforgeeks


Check If A Binary Tree Is A Complete Binary Tree Or Not Techie Delight


Ways To Traverse A Binary Tree Using The Recursive And Iterative Approach By Wangyy Medium


Invert Binary Tree Iterative And Recursive Solution Techie Delight


Serialize And Deserialize A Binary Tree Geeksforgeeks


Perform Boundary Traversal On A Binary Tree Techie Delight


Difference Between Binary Tree And Binary Search Tree Geeksforgeeks


Height Of A Binary Tree Python Code With Example Favtutor


Binary Tree Interview Questions And Practice Problems By Coding Freak Techie Delight Medium

Iklan Atas Artikel

Iklan Tengah Artikel 1

Iklan Tengah Artikel 2

Iklan Bawah Artikel